Since the deregulation of the Texas energy market in the early 2000s, the Public Utility Commission of Texas (PUCT) has required that retail electricity providers disclose what their rates are at average monthly kilowatt-hour (kWh) usage levels:
500 kWh (~small one-bedroom apartment)
1,000 kWh (~small house)
2,000 kWh (~large house)
To profit from this requirement, many Texas electricity companies have created what they call “tiered rate” energy plans AKA plans where you are charged drastically different prices per kWh, depending on your electricity and utility usage.
By design, tiered rates are difficult to understand due to their complexity, and that makes them a great way for electricity providers to advertise energy rates that look low at sign-up but are quite high at bill time. Unfortunately, this has become another trick energy providers use to get their customers to pay more than they should.
Below, we’ll uncover some things to look out for and how to spot a too-good-to-be-true energy deal that’ll help you when choosing an electricity plan.
Tiered Rate Energy Plans 101
The defining feature of a tiered rate energy plan is that there is no guarantee on the price you pay per kWh – the price changes dramatically based on your actual energy usage. Tiered energy rates can come in the form of different rates based on kWh usage, as well as flat fees and usage credits based on specific kWh usage. Or all the above.
Let’s consider an example:
Here is an overview of an actual energy plan offered by a Texas electricity provider in February 2021. They advertised their rates as follows based on average monthly usage:

As you look at the average price per kWh here, you probably immediately notice the large differences between them based on usage. People often call these offers “V-shaped plans,” because of the eye-catching low rate in the middle and sharp-climbing rates on both sides. Electricity service providers will often use this structure to attract customers who are drawn in by the cheap middle rate and who believe that they can save money by gaming the system and keeping their consumption around 1,000 kWh per month throughout the year. Which, by the way, is very tough to do, especially in Texas.
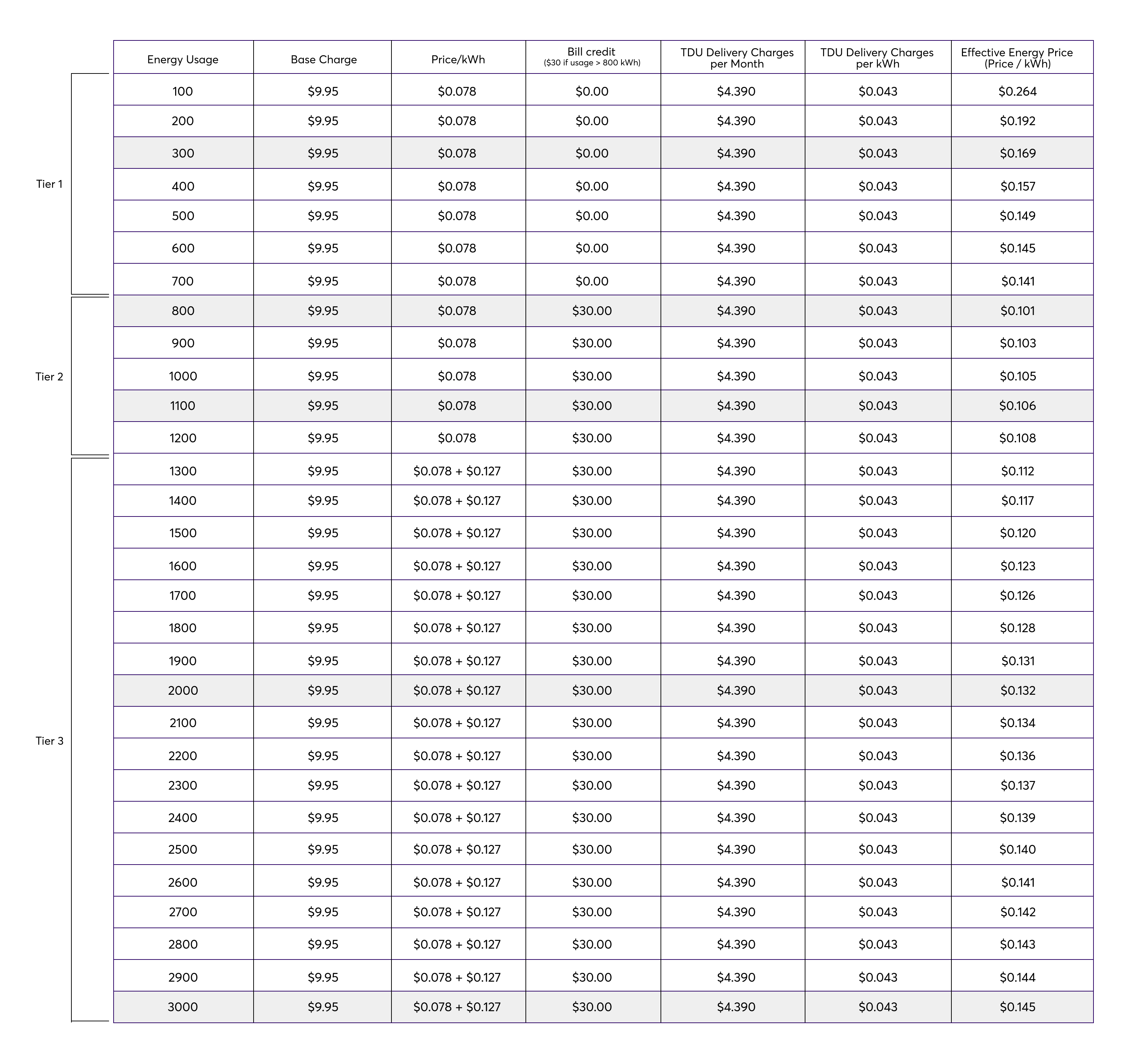
But to determine what you’re really getting with an electricity plan like this, you have to keep reading. In the plan’s Electricity Facts Label (EFL), you can find out exactly how pricing for this plan is structured. This tiered rate energy plan has:
Base Charge: $9.95 / month
Energy Charges per kWh based on use:
1-1200 kWh = $0.780
> 1200 kWh = $0.127
Bill Credit: $30 / month if usage is > 800 kWh
[This is a common feature of tiered rate plans. There is real value to this for consumers, but this credit also allows the electricity provider to advertise a better price point based on specific usage tiers]
[The cost of getting the electricity to your home—the part of your bill that goes to a Transportation Distribution Service Provider. In this case, it’s Centerpoint.]
Per Month: $4.39
Per kWh: $0.042723
The Math:
Let’s dig into the numbers to show what this tiered rate electricity plan is really all about. The combination of energy charges and bill credits give us three clear tiers:
Tier 1: Usage < 800 kwh
Energy Charge = $0.780 / kWh, Bill Credit = $0, TDU Delivery = $4.39 / month and $0.042723 / kWh
Tier 2: Usage between 800 kWh and 1200 kWh
Energy Charge = $0.780 / kWh, Bill Credit = $30, TDU Delivery = $4.39 / month and $0.042723 / kWh
Tier 3: Usage > 1200 kWh
Energy Charge = $0.780 / kWh for the first 1200 kWh AND Energy Charge = $0.127 / kWh for above 1200 kWh, Bill Credit = $30, TDU Delivery = $4.39 / month and $0.042723 / kWh

If you used exactly 1,000 kWh, you are getting a good price for energy ($0.105), as advertised. But, if you’re below that threshold – say at 300 kWh of use, you would be paying $0.169. The lowest price is when you use 800 kWh ($0.101). If you used 2,000 kWh you get the price of $0.132, but at 3,000 kWh, you would be paying $.145.
Here is the same data as above, so you can see the trend even more clearly:

The Bottom Line:
Tiered rate energy plans can make your bill seem random and unpredictable because very few people use exactly the 500, 1000, or 2,000 kWh that’s displayed in the electricity facts label. And here’s the thing! Even if you do, on average, use 1000 kWh of energy per month over the course of the year, month-to-month your usage will vary dramatically, so more often than not, you’ll pay higher monthly rates.
Want to learn how to conserve energy and lower your electricity bill? Check out our blogs below:
What to Watch Out for with Tiered Rate Energy Plans
With tiered rate electricity plans, electricity providers attract you by luring you in with a cheap, eye-catching rate in their ads. They set an expectation for big savings and make you dig to find the legally required detailed information in their Electricity Facts Label (EFL). Unfortunately, this means that on a tiered rate energy plan, you’ll likely pay much more on your electric bill than you expected.
In fact, by structuring plans this way, energy providers are counting on most of their customers failing to stay at the low-cost average usage level that gives them access to the lower rates. After all, if everyone who signed up for these types of plans always hit the lowest rate, these energy providers would lose money, and these deals would rapidly disappear. It’s a complicated trick that many smart people fall for.
Before you try an energy plan with tiered rates, read up on all the facts and decide if it’s really the right fit for you. And remember:
When you see a price that’s too good to be true, review the EFL.
When you see a very low rate for, say, 1,000 kWh/month usage next to higher rates for 500 and 2000 kWh usage, check the Electricity Facts Label (EFL). The EFL is the document that lays out the details of an electricity plan. Potential energy customers always have the option to click on an EFL link while they’re shopping around for plans.
When an electricity provider’s plan isn’t tiered, the pricing will be straightforward and logical. The price gaps between each usage amount will be small, and the prices will usually decrease as the usage moves from low to high. This dynamic reflects the simple fact that it’s easier for energy providers to profit from customers who use a higher amount of electricity.
When you see the price per usage advertised, the price is based on exact usage, not a range.
When Texans look at tiered energy rates, many of them make assumptions about what these numbers represent and how their usage habits might align. It’s not their fault. These assumptions are logical because of how the rates are often displayed.
But those numbers aren’t ranges or estimates. In a tiered rate electricity plan, the provider is only telling you what you’ll pay at exactly 500, 1,000, and 2,000 kWh a month. If you don’t use the exact amount advertised, there can be a significant difference in your energy bill if you consume even one kilowatt above or below those numbers (see chart above).
Don’t assume you can hit an “average monthly usage” level or tier. It’s difficult—especially in Texas.
It's nearly impossible to use exactly 500 kWh, 1,000 kWh or 2,000 kWh a month. Millions of Texas households consume less than 500 during months with moderate temperatures that don’t require heating or cooling to be comfortable. During summer and winter, when people are constantly cranking the heat or AC, it’s easy to blow past 2,000 a month, especially in a large house.
Tired of Tiered Electricity Rates? Try Rhythm Energy!
The world of Texas electricity is complex and confusing. Most consumers don't have the time or desire to spend hours studying the mechanics of rates and energy consumption.
If you’re trying to avoid tiered rates and other deceptive deals, sign up for Rhythm Energy! To browse our rates, visit our website and punch in your zip code. You’ll see there is little variation between the 500, 1,000 and 2,000 averages the PUCT requires us to display. Our 1,000 average is usually in the middle of the price spectrum, right where it should be.
At Rhythm Energy, you won’t have to think about tiers and tricks. Our fixed rates are simple and straightforward because our mission is to make energy easy for you.




